
Summary
Whale alerts are popular because large on-chain transactions are often viewed as precursors to imminent selling activity and as sell signals. To evaluate these claims, we analyzed the relationship between large BTC, ETH, and SOL deposits into Binance and their price actions.
Our regression analysis showed low R-squared values (0.0017 to 0.0537) between large exchange deposits and subsequent price actions. Narrowing the data to deposits from VCs and MMs slightly improved the R-squared values, but their practical utility as trade signals remains limited. The findings strongly suggest that whale exchange deposits lack the predictive power to serve as reliable trade signals.
On-chain metrics are effective for other purposes, such as analyzing blockchain fundamentals, tracking illicit fund flows, or explaining price movements ex post. They will better serve the industry when investors adopt realistic expectations about their capabilities and limitations.
1. Introduction
One of the key features that distinguish crypto assets from others is the public availability of their transaction records, stored on a distributed ledger. This transparency has enabled the development of various tools that leverage this unique attribute, collectively known as "on-chain data." One such tool is “whale alerts,” automated services that notify large on-chain crypto transactions. They are popular because large transactions are often interpreted as a precursor to imminent selling activity and thus regarded as "sell signals" by traders.
This report evaluates the validity of these commonly held assumptions. After providing a brief overview of the popular whale alert services available in the market, we explain how we analyze the relationship between large exchange deposits and the prices of BTC, ETH, and SOL. We then present the results of the analysis, followed by key takeaways and conclusions.
2. Whale Alerts Overview
Whale alert refers to a service that tracks and reports large crypto transactions. These services emerged with the growth of the crypto ecosystem, highlighting market participants' appreciation for the transparency enabled by blockchain's permissionless nature.
2.1. History
The term "whale" gained prominence as early Bitcoin adopters, miners, and investors (e.g., Satoshi Nakamoto, the Winklevoss Twins, F2Pool, Mt. Gox) amassed large holdings. Initially, enthusiasts monitoring blockchain explorers like Blockchain.info noticed large transactions and often shared them on forums like Bitcointalk or Reddit. These data were often weaved into narratives explaining significant BTC price moves.
The increasing number of transactions and whales during the 2017 bull market necessitated automated solutions for monitoring. In 2018, a European development team launched a tool called Whale Alert (capitalized to distinguish it from the generic term for similar services), which provides real-time tracking of large crypto transactions across multiple blockchains and sends alerts via X, Telegram, and web platforms. It quickly became popular among market participants seeking actionable trade signals.
Figure 1: Looking Out For Big Moves

Source: Whale Alert (@whale_alert)
2.2. Underlying Assumption
Following Whale Alert’s success, numerous platforms have emerged over the years offering similar services, as summarized in Figure 2. While many newer platforms have added features to contextualize the alerts, the original Whale Alert remains focused on simple, real-time notifications and continues to be the most popular service, as evidenced by its large following on X. A common feature among all these services is their reliance on the assumption that large on-chain transactions—especially exchange deposits—signal imminent selling activity.
Figure 2: Popular Whale Alert Services

Source: Whale Alert, Lookonchain, Glassnode, Santiment, X, Presto Research
3. Evaluating Signal's Efficacy
Advocates of whale alert services argue that on-chain asset transfers into exchanges often precede liquidation, making them a valid sell signal. To verify this claim, we analyzed how crypto asset prices behaved immediately after large deposits were made into a major exchange. The key parameters of the analysis are summarized in Figure 3. Our hypothesis is that, for large exchange deposits to serve as a reliable trading signal, meaningful relationships should be observed with the corresponding asset prices.
Figure 3: Key Parameters For Analysis

Source: Presto Research
3.1. Assets, Exchanges, Period, & Deposit Threshold
Our analysis focused on three major crypto assets—BTC, ETH, and SOL—and their USDT prices on Binance during the period from January 1st 2021 to December 27th 2024. This timeframe was chosen to align with the operational duration of Binance’s current wallet addresses used for aggregating deposits.
Deposit threshold is set to reflect the fact that the analysis is, for practical reasons, based on one exchange data. Specifically, using Whale Alert's $50M/$50M/$20M limit values for BTC/ETH/SOL whales as a benchmark, we adjusted down the deposit thresholds to $20M/$20M/$8M, applying Binance's 40% share in the global spot trading volume.
3.2. Types of Entities
We also isolated deposits made by known entities and ran the same analysis for the narrower data sample to examine whether deposits from specific types of entities exhibit a stronger relationship with price movements. The entities were identified through Arkham Intelligence and supplemented by our own investigation (Figure 4).
Figure 4: Entities With Known Addresses

Source: Arkham Intelligence, Presto Research
3.3. Measuring Market Impacts
To assess potential selling pressure from whale deposits, we made the following assumptions:
Selling pressure manifests within a specific time frame after a deposit greater than the threshold is confirmed on-chain. We analyzed two time frames: one hour and six hours.
The Maximum Drawdown (MDD) during the designated interval serves as the metric to capture the deposit's price impact, if any, effectively filtering out noise during that period.
3.4. Results
The results of the analysis are shown from Figure 5 through 10.
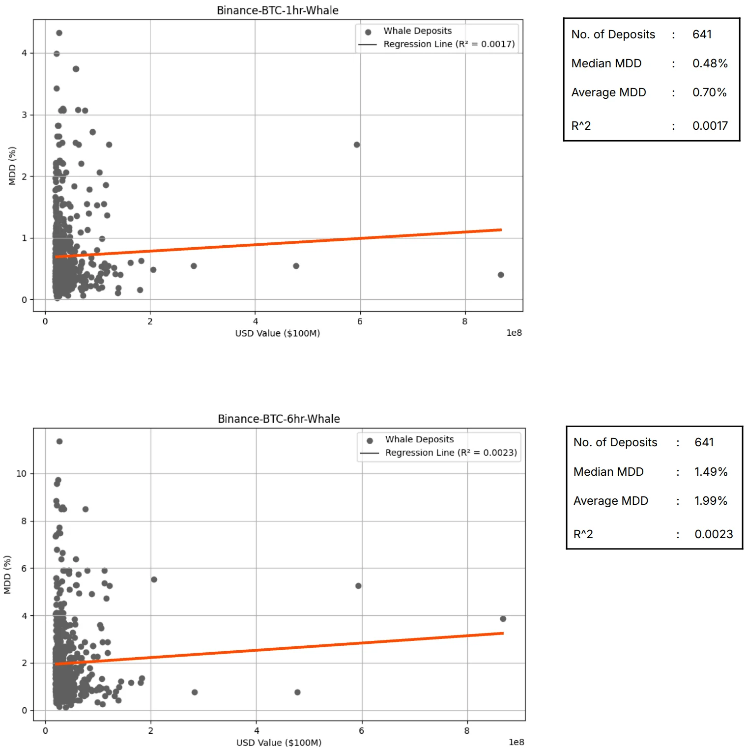
Figure 5: BTC Whale Deposit Impact (All)

Source: Binance, Dune Analytics, Presto Research
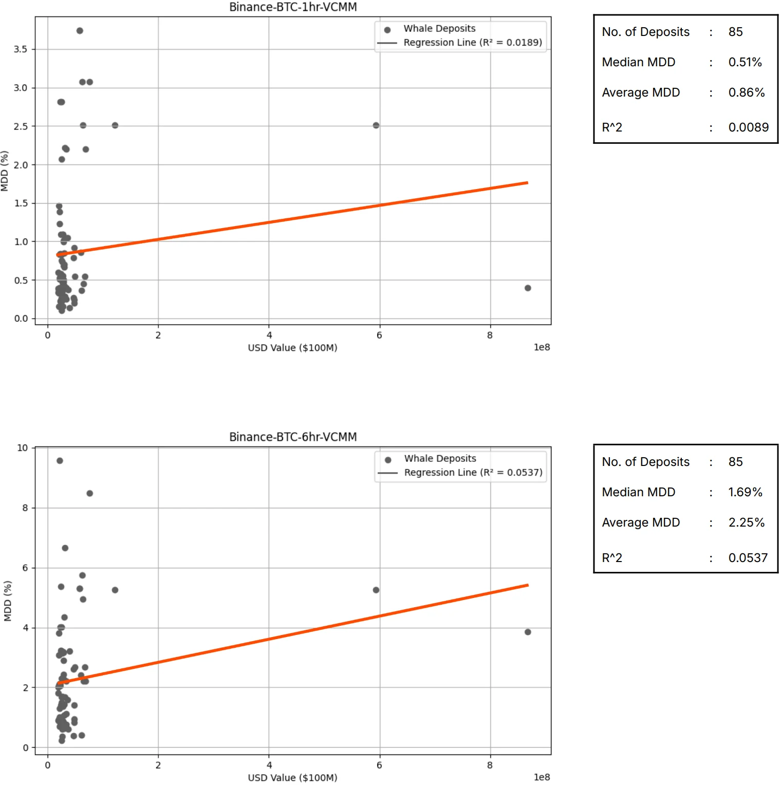
Figure 6: BTC Whale Deposit Impact (VCs & MMs Only)

Source: Binance, Dune Analytics, Presto Research
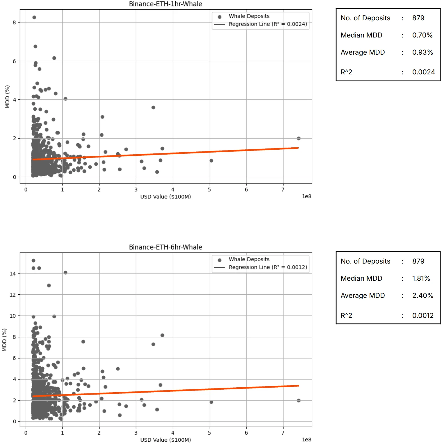
Figure 7: ETH Whale Deposit Impact (All)

Source: Binance, Dune Analytics, Presto Research
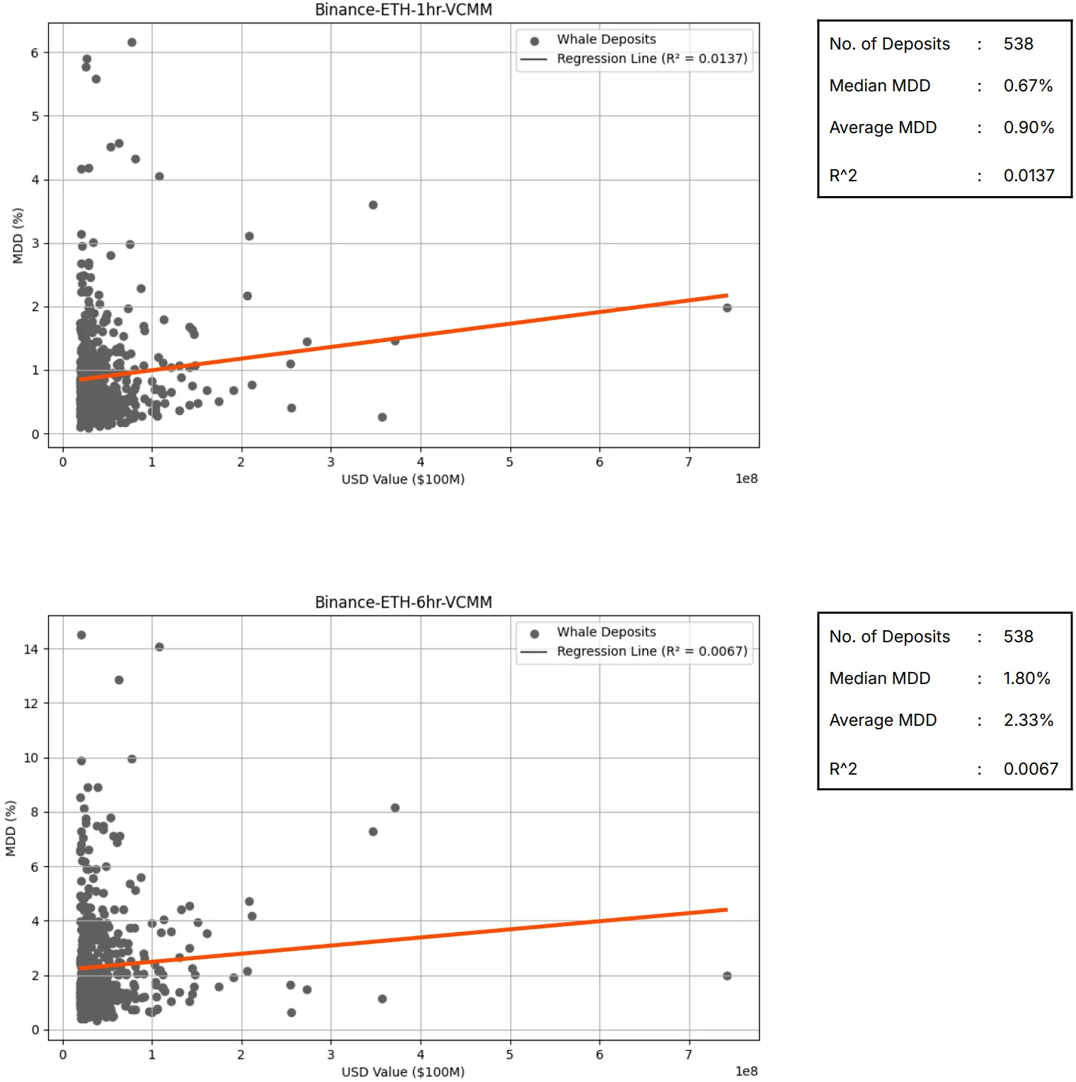
Figure 8: ETH Whale Deposit Impact (VCs & MMs Only)

Source: Binance, Dune Analytics, Presto Research
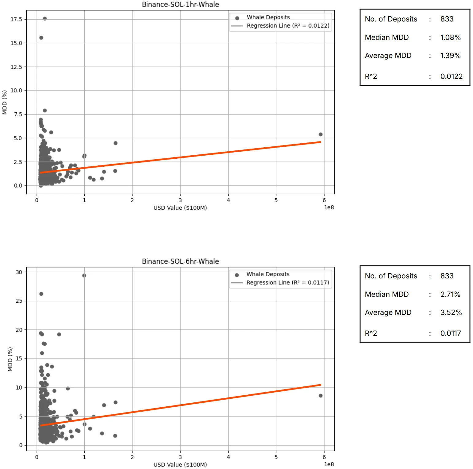
Figure 9: SOL Whale Deposit Impact (All)

Source: Binance, Dune Analytics, Presto Research
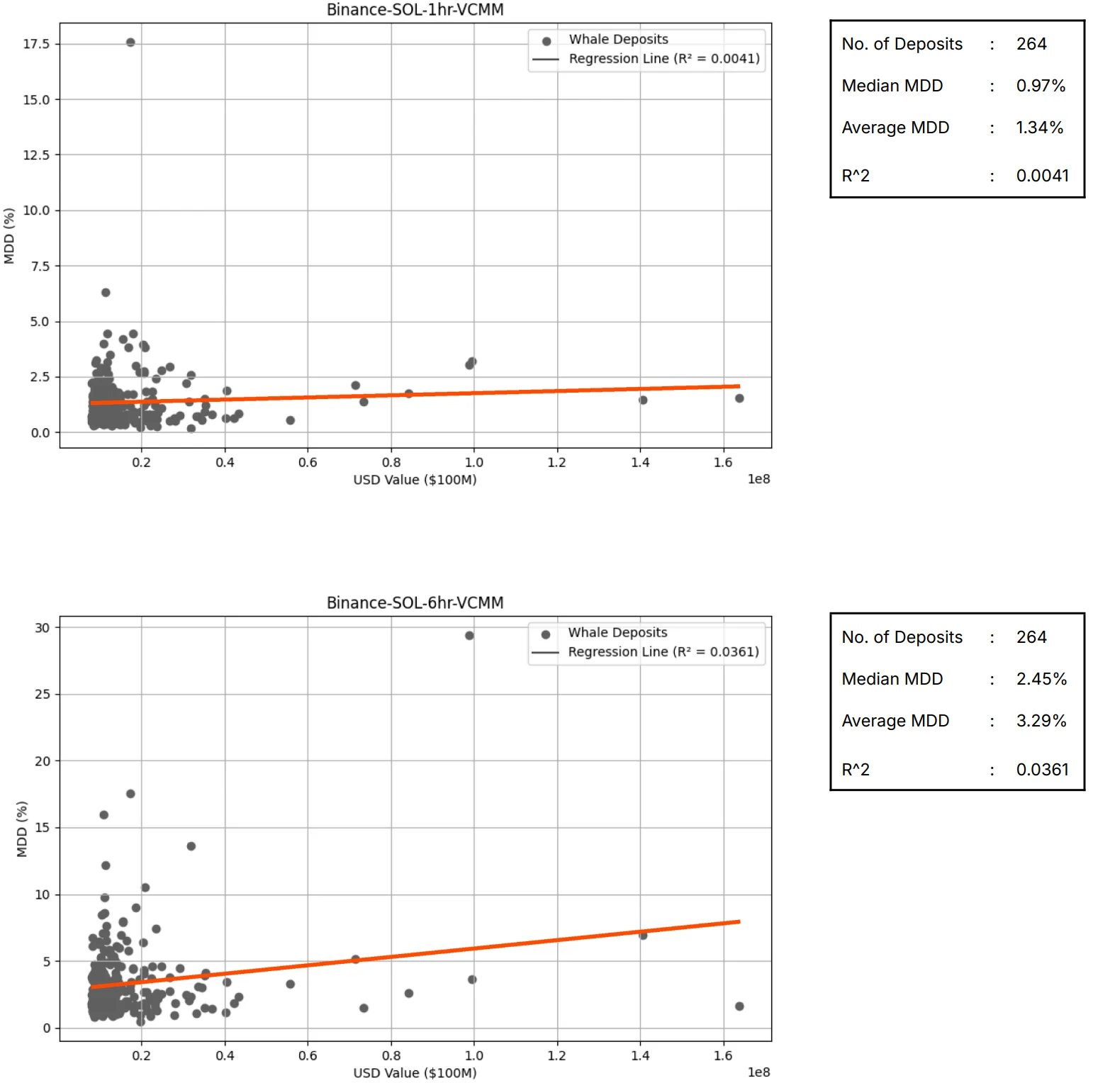
Figure 10: SOL Whale Deposit Impact (VCs & MMs Only)

Source: Binance, Dune Analytics, Presto Research
4. Takeaways
The results, summarized in Figure 11, yield three key takeaways.
First and foremost, large exchange deposits are weak predictors for price declines. None of the 12 scenarios analyzed showed a meaningful R-squared value, which ranged from 0.0017 to 0.0537.
Second, deposits by VCs and MMs may be slightly better predictors, as evidenced by improvement in the R-squared for this sub-group. That said, the improvement may simply reflect reduced sample-specific noise rather than a stronger relationship with the dependent variable. Moreover, the absolute values are still low, suggesting its practical utility as trade signals is limited.
Third, VCs and MMs dominated ETH whale deposits. They accounted for 61% of ETH deposits (538 out of 879), compared to 13% for BTC and 32% for SOL. This likely reflects the differing characteristics of the assets: ETH, with its versatile Web3 utility (e.g., gas fees, staking, DeFi collateral, and medium of exchange), is a high-turnover asset, while BTC, as a store of value, is more static.
Figure 11: Results Summary

Source: Binance, Dune Analytics, Presto Research
5. Conclusion
Admittedly, our analysis is not without caveats. While we selected parameters we believe best reflect reality, they may still appear arbitrary. Regression analysis has inherent constraints, and relying solely on R-squared values to draw firm conclusions can sometimes be misleading.
That said, the analysis, supported by context and anecdotal observations, strongly indicates that whale exchange deposits lack sufficient predictive power to be a reliable trade signal. And there lies an important insight into the broader use of on-chain metrics.
On-chain metrics are undeniably valuable tools, especially for analyzing blockchain fundamentals or tracking illicit fund flows. They could also be useful when explaining price moves ex-post. However, using them to predict short-term price changes ex-ante is a different matter entirely. Price is a function of both supply and demand, whereas exchange deposits represent just one of many factors influencing the supply side only, if at all. Price discovery is a complex process shaped by fundamentals, market structure, behavioral factors (e.g., sentiment, expectations), and random noise.
In volatile crypto markets, where participants constantly seek elusive “fail-proof” trading strategies, there will always be an audience captivated by the perceived “magic” of on-chain metrics. When coupled with a few overzealous data vendors eager to oversell the promise of their platforms, the efficacy of on-chain metrics as a trading signal often becomes overstated. On-chain metrics will serve the industry far better when investors form realistic expectations about their capabilities and limitations.
Figure 12: Understand its Capability and Limitations

Source: New England Inns & Resorts




